Основы схемотехники
Цели лабораторной работы:
1. Ознакомиться с базовыми понятиями в схемотехнике: о токе, напряжении, делителях напряжения, законе Ома и о том, как это применяется на практике вместе с Intel Galileo.

Закон Ома — главный закон электричества

Мощность — мера скорости трансформации электрической энергии в другую форму

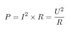
Зная закон Ома, можно заметить, что мощность можно рассчитать иначе:

Мир не идеален и часть электроэнергии непременно трансформируется в тепло. Из-за этого и греются компьютеры, телефоны, телевизоры и другая электроника.

Короткое замыкание

Соединение плюса с минусом напрямую, по закону Ома, приводит к очень большому току, следовательно к очень большой мощности нагрева, что в итоге приводит к возгоранию.
Это называется коротким замыканием или в просторечии просто «козой». Никогда не допускайте его, ни при каких обстоятельствах!
Последовательное подключение
При последовательном подключении сила тока в каждом потребителе — одна и та же, различается напряжение: в каждом компоненте падает его часть.

Параллельное подключение
При параллельном подключении напряжение вокруг каждого потребителя — одно и то же, различается сила тока: каждый потребляет ток в соответствии с собственным сопротивлением.

Проект "Модель с потенциометром (переменным резистором) и светодиодом"
Задача.
Потенциометр – это переменный резистор с регулируемым сопротивлением. Потенциометры используются в робототехнике как регуляторы различных параметров – громкости звука, мощности, напряжения и т.п. В нашей модели от поворота ручки потенциометра будет зависеть яркость светодиода . Это также одна из базовых схем.
Оборудование:
Лабораторная работа № 3 < Навигация > Лабораторная работа № 5